AVZ Discussion 2022

tonster66

Regular
any ideas on what is going to happen with the chinese?

From yesterday on X




Manono Lithium SAS

@Manonolithium



In anticipation of the actual production,
@Manonolithium
grants a period of 52 days to artisanal miners to release its mining perimeter. From July 1, no access will be tolerated to any foreigner...
@Chris

We all know that manono lithiums current PR covers AVZs Camp Coline and the core library.

Will AVZ or the new owners allow manono lithium to keep the camp? It looks like they have stated where they stand and wont give them
access to it (They are actually foreigners themselves, so disrespectful)

It is going to be real interesting to see what happens here cause this is not the northern section.

any thoughts?
 
  • Like
  • Thinking
  • Sad
Reactions: 10 users

Hudnut

Regular
"From July 1, no access will be tolerated to any foreigner..."

Hopefully that means all Chinese will piss off from the lease, but I don't think that's what they meant.
 
  • Haha
  • Like
Reactions: 17 users

wombat74

Top 20
any ideas on what is going to happen with the chinese?

From yesterday on X

Manono Lithium SAS
@Manonolithium



In anticipation of the actual production,
@Manonolithium
grants a period of 52 days to artisanal miners to release its mining perimeter. From July 1, no access will be tolerated to any foreigner...
@Chris

We all know that manono lithiums current PR covers AVZs Camp Coline and the core library.

Will AVZ or the new owners allow manono lithium to keep the camp? It looks like they have stated where they stand and wont give them
access to it (They are actually foreigners themselves, so disrespectful)

It is going to be real interesting to see what happens here cause this is not the northern section.

any thoughts?
Looks like they are expecting an influx of foreigners to the area ? Won't be AVZ's problem .
 
  • Like
Reactions: 7 users

Cumquat Cap

Regular
I tend to agree with you, and Wombat.

I just hope to high heaven we're not waiting for an announcement after June 1st. Management don't have the best reputation for timely updates.
Fingers crossed big time there's only 10 days max to wait 🤞🤞🤞🤞
I say ley ICSID get underway, will only out a massive fire under America to pay a fair value and get this wrapped up. We need leverage and ICSID can be halted at any time. Bring it on, wait til peace agreement signed and prey for competitive pressure
 
  • Like
  • Fire
Reactions: 24 users

Bray

Regular
10 pages of banter and bickering caught up on, hope everyone is doing alright xx
View attachment IMG_4645.jpeg
 
  • Like
  • Haha
  • Wow
Reactions: 18 users

Dave Evans

Regular
any ideas on what is going to happen with the chinese?

From yesterday on X

Manono Lithium SAS
@Manonolithium



In anticipation of the actual production,
@Manonolithium
grants a period of 52 days to artisanal miners to release its mining perimeter. From July 1, no access will be tolerated to any foreigner...
@Chris

We all know that manono lithiums current PR covers AVZs Camp Coline and the core library.

Will AVZ or the new owners allow manono lithium to keep the camp? It looks like they have stated where they stand and wont give them
access to it (They are actually foreigners themselves, so disrespectful)

It is going to be real interesting to see what happens here cause this is not the northern section.

any thoughts?

Don’t know if Zijin (Manono Lithium) has taken over our camp or if they built another one but if you look closely at this photo of their camp taken a few weeks ago it shows barbed wire around the top of their fencing

IMG_9025.png


Makes your blood boil when you compare that photo to the photos in this link 👇

 
Last edited:
  • Like
  • Fire
  • Sad
Reactions: 24 users

wombat74

Top 20
I say ley ICSID get underway, will only out a massive fire under America to pay a fair value and get this wrapped up. We need leverage and ICSID can be halted at any time. Bring it on, wait til peace agreement signed and prey for competitive pressure
Where's the competitive pressure coming from ?
 
  • Like
Reactions: 1 users

Xerof

Flushed the Toilet
Another fucking spam bot
Joined 55 minutes ago, 28 posts
Fuck off j19/himybaggywaggys
 
  • Like
  • Fire
  • Haha
Reactions: 18 users

Samus

Top 20
Another fucking spam bot
Joined 55 minutes ago, 28 posts
Fuck off j19/himybaggywaggys
Another one for the ignore list, funny how they all pop up 3 years into this shitshow and act like everybody's best mate :rolleyes:
1000012580.jpg
 
  • Haha
  • Like
Reactions: 16 users

Doc

Master of Quan
Another fucking spam bot
Joined 55 minutes ago, 28 posts
Fuck off j19/himybaggywaggys
Reminds of that info Jag posted years ago about the types of trolls and their mo.
This one seems to fit the play nice, gain their trust and then subtly subvert the narrative from positives to negatives type
 
  • Like
Reactions: 14 users

SilentOne

Regular
Trump and the Congo.

BREAKING NEWS: President Hitler (Formerly Known as Donald J. Trump) Nominated for Nobel Peace Prize — Media Demands Immediate Revocation of Peace Itself WASHINGTON, D.C. — In a development so outrageous it caused MSNBC staff to spontaneously combust, President Donald J. Trump… yes, the 47th President, the man the media swore would nuke the planet for fun… has done the unthinkable: he’s brokered peace. Not in Europe. Not in the Middle East. But in the blood-soaked heart of Africa, where the deadliest ongoing war on Earth has quietly claimed over 6 million lives… with zero Netflix specials to show for it. The peace deal, negotiated over several weeks by the Trump administration’s team and signed in principle by Congo and Rwanda, could finally bring an end to three decades of slaughter, rape, displacement, and mineral-fuelled carnage. But because there’s no oil pipeline, no photogenic refugees, and no opportunity to blame white Western men… the media is in full blackout mode.

See the full story

 
Last edited:
  • Like
  • Fire
Reactions: 12 users

Jazz

Regular
Don’t know if Zijin (Manono Lithium) has taken over our camp or if they built another one but if you look closely at this photo of their camp taken a few weeks ago it shows barbed wire around the top of their fencing

View attachment 85013

Makes your blood boil when you compare that photo to the photos in this link 👇





Zijin don't need our camp.

Our camp is circled on the left. The new works on the right has been done just in the last 12 months! And that's not all of it, there is other significant works outside of this shot. It looks like they are excavating the tailings also, as that white spot in the middle of the shot is recently excavated spoil.

Anyone know where tantalex is at with their plant? or whatever they were doing?


1747910566835.png
 
  • Like
  • Wow
  • Sad
Reactions: 15 users
  • Like
  • Fire
  • Thinking
Reactions: 12 users
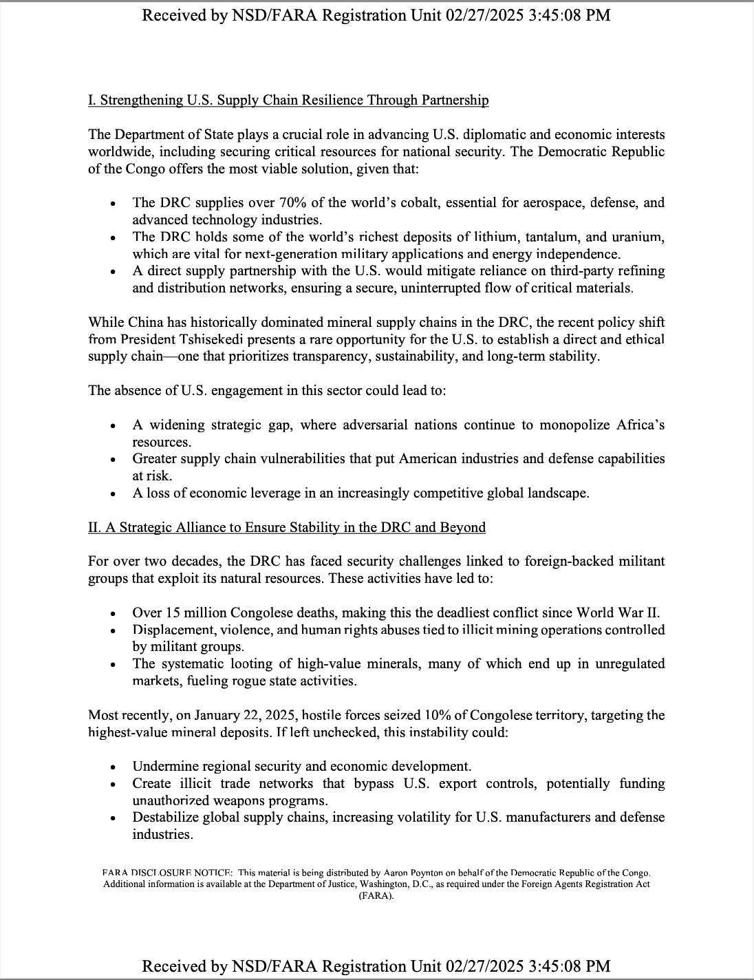
This article has a link to the FARA disclosure for the DRC's letter to the Trump administration in February. First time I've seen it published.


View attachment 85027
View attachment 85028
View attachment 85029
View attachment 85030
'As the world’s largest supplier of cobalt and a major producer of lithium, copper, tantalum, and uranium, the DRC’s resources are integral to U.S. industrial competitiveness and national security'
b987b0612af0fed063127e485fdbd50f.gif
 
  • Like
  • Haha
Reactions: 10 users

BEISHA

Top 20
No. 15 . These guys been sniffing glue ?
lol, i reckon they passed on the glue and went straight to meth mentioning No 20.....;):eek:
 
  • Haha
  • Like
Reactions: 5 users

BEISHA

Top 20
I have read other articles where the $1billion was about developing(building) the mine and not acquiring it.
Nice to see you back mate, always liked your posts back in the elysian days when AVZ HC threads were at its finest........until it was not.
 
  • Like
  • Fire
Reactions: 16 users

BEISHA

Top 20
Shower thoughts, I know comparing stuff is pointless but I was thinking what do you guys value twitter/x at ? a lot dont even use it and its already available on everything, nothing needs to be created for it. The use of it is already at max through ads etc. But Elon went and bought it for 44 billion dollars anyway..and its just code (plus infrastructure etc).

Now the potential from the mine on this resource is massive. The potential for new things are far greater and new creations so to speak. Again, two different things but why would this resource be worth less ?

I know its not practical but was just a thought on potential buyout prices that could be floated.
willy-wonka.gif
 
  • Haha
Reactions: 2 users

timb89

Regular
  • Like
Reactions: 1 users
Top Bottom