BRN Discussion Ongoing

Could someone please call Markus Shaefer to let him know that its probably a good idea if he refers to Neuromorphic Computing as "sexy" in his blog, because this is what everyone else is saying about it.

In addition, all us of us sexy people on TSEX will really appreciate it.


View attachment 22330

Lots of misogyny, hate, gender assumptions and anger in todays discussion
Unsubstantiated information? Have Qualcomm not used SNN technology that they developed themselves over Akida? Until a couple of days ago... I didn't think anything came close to Akida's performance? I'm trying to generate some discussion around that... hoping for constructive comments (such as from Diogenese) to help me understand my investment vs competitors. Nothing more, nothing less. Get off you #$%^ soapbox WILZY123 and have a little consideration for other investors who may not have the luxury of extended time frames to continue waiting year on year for some of these dots to connect. You've had nothing constructive to comment on, other than belittling or abusive posts... something I'd expect on that other forum.
In before you get called a misogynist 😂
 
I think I would add verified company releases not just on the ASX otherwise you discount any value to the partnerships with ARM, Prophesee, Edge Impulse etc;

I also raised my concerns that people elevating dots like the Snapdragon 8 in initial commentary to the level of fact would lead to shareholders feeling as @Fenris78 apparently does.

So here we are with all the rock solid known factual information having a debate about Snapdragon 8 when there is a global market of thousands of industrial players where AKIDA can be finding a place to dominate.

ARM has over 1,000 technology partners and 55 million engineers engaged with its platforms.

Edge Impulse with over 55,000 engineers on it’s books proclaiming to them and the rest of the tech world that AKIDA is the stuff of science fiction.

MegaChips filling its shareholder reports with Brainchip and AKIDA.

Prophesee saying their house of straw was instantly turned into double brick with DOUBLE GLAZED landscape windows upon the introduction of AKIDA magic.

ISL celebrating AKIDA neuromorphic computing and winning DARPA competitions.

Mercedes Benz embracing AKIDA neuromorphic computing.

And now with much more than this short list we are having a pointless discussion about Snapdragon 8.

If you want to look at Qualcomm’s track record on claims about Snapdragon in the past many times before it has made bold claims only to fall well short.

If anyone wants to know if Qualcomm and Snapdragon 8 have crossed the huge technology gap to AKIDA and are shareholders send a polite email to Tony Dawe at Brainchip Investor Relations or you could take the word of an anonymous old technophobe on social media who has absolutely no idea that it is yet another crock of technology sh-te making performance claims so far from the science fiction levels of AKIDA it is not even worthy of serving at AKIDA’s table let alone being given a seat.

My opinion only DYOR
FF

AKIDA BALLISTA
It’s actually getting really annoying that as soon as someone spots “edge” or AI, without any context they post it. I’ve talked about this before, at least google for another 60 seconds before throwing irrelevant “dot joins” down. This is exactly why UIUX was pissed and probably another reason why he is mia. He literally made another thread for “this might be akida”
 
  • Like
  • Love
Reactions: 8 users
Saw this article in a Google search and did a quick word search on TSE to see IMEC popped up occasionally but didn't appear that much discussion around it.

Has anyone looked into much as they're bullish on neuromorphic and curious of any overlap to Akida or even use?

Their results support, as we know already, the benefits of SNN.

I recall someone, maybe bravo, posted that Simon Thorpe had presented at the IMEC academy at one point?

Edit. As a side note imo everyone's views should be respected, within reason, as others have pointed out, otherwise maybe a private invite only forum should be set up or this won't be a public open forum for discussion, questions and ideas, just one way traffic.




Imec’s spiking neural network (SNN) chip combines low latency and energy consumption with high accuracy

Summary

In April 2020, imec researchers introduced the world’s first chip to process radar signals using a spiking recurrent neural network (SNN)

At the time of the announcement, the chip showed to consume up to a hundred times less power than traditional implementations – while featuring a tenfold reduction in latency.

Today, a study confirms that imec’s SNN also ranks amongst the top performers in terms of (inference) accuracy.

In April 2020, imec introduced the world’s first chip to process radar signals using a spiking recurrent neural network (SNN). Its flagship use-case? The creation of a smart, low-power multi-sensor perception system for drones that identifies obstacles in a matter of milliseconds.

Contrary to the artificial neural networks that are a key ingredient of today’s robotics perception systems, SNNs mimic the way groups of biological neurons operate – firing electrical pulses sparsely over time, and, in the case of biological sensory neurons, only when the sensory input changes. It is an approach that comes with important benefits: at the time of the announcement, imec’s SNN chip showed to consume up to a hundred times less power than traditional implementations while featuring a tenfold reduction in latency – enabling almost instantaneous decision-making.

In the following article, Ilja Ocket – program manager of neuromorphic sensing at imec – provides more insights into some of imec’s recent advances in this domain.

Optimizing and scaling up the original SNN chip

In the last year, imec has been optimizing and scaling up its original SNN chip – the details of which were recently published in ‘Frontiers in Neuroscience’ – to host a variety of (IoT and autonomous robotics) use-cases. The chip builds on an entirely event-based digital architecture, and was implemented in low-cost 40nm CMOS technology. It supports event-driven processing and relies on local on-demand oscillators and a novel delay-cell to avoid the use of a global clock. Moreover, it does not exploit separate memory blocks; instead, memory and computation are co-localized in the IC area to avoid data access and energy overheads.

Imec’s SNN ranks amongst the top performers in terms of inference accuracy

Meanwhile, research with the Dutch national research institute for mathematics and computer science (CWI), confirms that spiking neurons with adaptive thresholds can be trained to achieve top-notch inference accuracy. A comprehensive study conducted by imec and CWI aimed to benchmark SNNs using adaptive neurons against six other neural networks. To do so, eight different data sets were used – including Google’s radar (SoLi) and Google’s speech datasets. The study clearly pointed out that SNNs using neurons with adaptive thresholds can achieve a low energy consumption, but not at the expense of a decreased inference accuracy. On the contrary: for each of the major data sets used in the study, the imec SNN ranked amongst the top performers in terms of accuracy.

1668848980804.png


Imec’s adaptive neuron-based SNN (‘Adaptive SRNN’) was evaluated against six other neural networks – using eight different data sets including Google’s radar (SoLi) and Google’s speech datasets

“SNN technology will find its way in a broad range of use-cases: from smart, self-learning Internet of Things (IoT) devices – such as wearables and brain-computer interface applications – to autonomous drones and robots. But each of those use-cases comes with its own set of requirements”, says Ilja Ocket. “While spiking neural networks for IoT applications should excel at operating within a very small power budget, autonomous drones demand a low-latency SNN that allows them to avoid obstacles quickly and effectively.”

“Addressing those requirements using a one-size-fits-all SNN architecture is extremely challenging. A delicate balance needs to be struck between energy consumption, latency, accuracy, cost (chip area) and scalability. For example, an SNN with the lowest possible energy consumption and latency typically results in an increased chip area – and vice versa. Finding that balance is one of imec’s SNN focus areas.”

Going forward: spiking all the way
Drones are being used in an increasing number of application domains. Still, to improve their level of autonomy and to have them operate in more challenging environments (such as bad weather conditions), their sensing capabilities require yet another boost. According to Ilja Ocket, an end-to-end spiking approach – based on fused neuromorphic radar and camera inputs – might offer a way out.

Ilja Ocket: “This obviously makes for a highly energy-efficient and super low latency system. Today, however, in order to connect such cameras to the underlying AI, one still needs to translate their feed into frames – which significantly limits the efficiency gains. That is why we are investigating how the spiking concept can be implemented end-to-end: from the cameras and sensors to the AI engine. We are actually the first ones to do so, with very promising results so far. To that end, we are still looking for companies from across the drone industry – such as OEM drone builders – to join our program and experiment with this exciting technology.”

1668849078693.png


Imec’s end-to-end spiking approach at work. Local feature detection forms the first layer for a more complex semantic build-up.
 
Last edited:
  • Like
  • Fire
  • Love
Reactions: 19 users
D

Deleted member 118

Guest
  • Like
Reactions: 2 users

wilzy123

Founding Member
  • Haha
  • Like
Reactions: 5 users

Fenris78

Regular
  • Like
  • Love
Reactions: 5 users
Did somebody say AKIDA hardly generates any heat???

“Graphics card-maker Nvidia is investigating reports its latest cards may be causing power cables to melt.
Social-media users posted photos online appearing to show damage to the cable used to power the Nvidia RTX 4090, launched in October 2022.
They claimed the graphics card, which retails for £1,699, was "melting" the adapter supplied in the box.
Nvidia told BBC News it was looking into the claims.
"We continue to investigate the reports - however, we don't have further details to share yet," it said”
I like this FF as it points to another common problem and or limitation that AKIDA provides a solution for. Besides market leading neuromorphic AI technology AKIDA also brings a raft of equally important and impressive secondary benefits. These features sit outside of what a company seeking a competitive AI advantage typically may consider. But in their own right bring just as much value for customers looking for new ways to solve traditional industry problems and restrictions.

In the above instance it appears that Nvidia may be having problems with excessive current draw, a problem we know that AKIDA provides a solution for.

It is my firm belief that AKIDA will be implemented in products purely for its power saving features alone. The AI in these applications may not be externially evident or focus on the user interface or customer experience rather it will be internal, focusing on a devices internal power management. This requirement, as the world looks to become greener will continue to become more and more relevant. Power prices, government mandates, the shift to battery power and constant drive to make products smaller are all effectively forcing manufacturers to do more with less and in doing so presenting a huge opportunity for us.
 
Last edited:
  • Like
  • Love
  • Fire
Reactions: 18 users

wilzy123

Founding Member
Though, I have been guilty of reading too much on these forums and sending myself down rabbit holes. Prob something that I need to take a break from
Prob
 

Iseki

Regular
Please stop gaslighting the community here. No-one is stopping you from conducting research. But simply demanding we research your gaslighting questions is not our role.

You need to understand the complexity of what ARM can do, running on many cores, including number crunching for AI.
You need to understand how akida can perform a lot of the AI without the power hungry number crunching, and only then pass on what's left to do to those parts of the chip.
You need to understand that they can put akida ip into arm chips if it makes sense from a business point.
You need to understand business.
But you want to pretend not to understand any of this.

@zeeb0t Clean up isle 3 please
 
  • Like
  • Love
  • Fire
Reactions: 16 users

Deadpool

Akida - Distributed “swarm” architecture
Your incorrigible wilzy, ha ha ha ha, thought I had low tolerance :mad: love it
 
  • Haha
  • Like
Reactions: 4 users

wilzy123

Founding Member
incorrigible
I had to look that word up.

Dumb is dumb. I'm not about to magically change my point of view on dumb after exchanging more dumb words.

Anyway... cbf wasting anymore time on this. It's boring and not relevant.
 
  • Haha
  • Love
  • Like
Reactions: 3 users

manny100

Top 20
If you buy BRN you buy because its a first to market in an exciting new industry and you have faith in your personal research. To put it bluntly the size of your investment is directly proportional to the size of your 'cods'. Pips for stand aside and melons for the bigger investors.
What i am trying to say if it makes you nervous better off buying Blue chips. If you have a bit of 'dare' to go with your research then you might throw a chunk of $ at it.
We are all different with different risk profiles. Of course some of us threw a middling chunk of money at it early on which has become a big chunk.
Bit like those of us throwing middling chunks at now good stocks early on in the EV push. Lots said it will never happen. After many years its coming to fruition.
Of course with all these new industry themes they will peak at some point.
 

Deadpool

Akida - Distributed “swarm” architecture
I had to look that word up.

Dumb is dumb. I'm not about to magically change my point of view on dumb after exchanging more dumb words.

Anyway... cbf wasting anymore time on this. It's boring and not relevant.
come on mate, salad and milo will be back soon
.
resolution exterminate GIF by Doctor Who
 
  • Haha
  • Like
Reactions: 4 users

Diogenese

Top 20
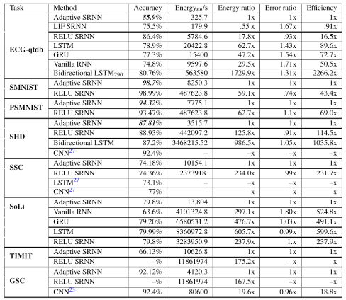
Saw this article in a Google search and did a quick word search on TSE to see IMEC popped up occasionally but didn't appear that much discussion around it.

Has anyone looked into much as they're bullish on neuromorphic and curious of any overlap to Akida or even use?

Their results support, as we know already, the benefits of SNN.

I recall someone, maybe bravo, posted that Simon Thorpe had presented at the IMEC academy at one point?

Edit. As a side note imo everyone's views should be respected, within reason, as others have pointed out, otherwise maybe a private invite only forum should be set up or this won't be a public open forum for discussion, questions and ideas, just one way traffic.




Imec’s spiking neural network (SNN) chip combines low latency and energy consumption with high accuracy

Summary

In April 2020, imec researchers introduced the world’s first chip to process radar signals using a spiking recurrent neural network (SNN)

At the time of the announcement, the chip showed to consume up to a hundred times less power than traditional implementations – while featuring a tenfold reduction in latency.

Today, a study confirms that imec’s SNN also ranks amongst the top performers in terms of (inference) accuracy.

In April 2020, imec introduced the world’s first chip to process radar signals using a spiking recurrent neural network (SNN). Its flagship use-case? The creation of a smart, low-power multi-sensor perception system for drones that identifies obstacles in a matter of milliseconds.

Contrary to the artificial neural networks that are a key ingredient of today’s robotics perception systems, SNNs mimic the way groups of biological neurons operate – firing electrical pulses sparsely over time, and, in the case of biological sensory neurons, only when the sensory input changes. It is an approach that comes with important benefits: at the time of the announcement, imec’s SNN chip showed to consume up to a hundred times less power than traditional implementations while featuring a tenfold reduction in latency – enabling almost instantaneous decision-making.

In the following article, Ilja Ocket – program manager of neuromorphic sensing at imec – provides more insights into some of imec’s recent advances in this domain.

Optimizing and scaling up the original SNN chip

In the last year, imec has been optimizing and scaling up its original SNN chip – the details of which were recently published in ‘Frontiers in Neuroscience’ – to host a variety of (IoT and autonomous robotics) use-cases. The chip builds on an entirely event-based digital architecture, and was implemented in low-cost 40nm CMOS technology. It supports event-driven processing and relies on local on-demand oscillators and a novel delay-cell to avoid the use of a global clock. Moreover, it does not exploit separate memory blocks; instead, memory and computation are co-localized in the IC area to avoid data access and energy overheads.

Imec’s SNN ranks amongst the top performers in terms of inference accuracy

Meanwhile, research with the Dutch national research institute for mathematics and computer science (CWI), confirms that spiking neurons with adaptive thresholds can be trained to achieve top-notch inference accuracy. A comprehensive study conducted by imec and CWI aimed to benchmark SNNs using adaptive neurons against six other neural networks. To do so, eight different data sets were used – including Google’s radar (SoLi) and Google’s speech datasets. The study clearly pointed out that SNNs using neurons with adaptive thresholds can achieve a low energy consumption, but not at the expense of a decreased inference accuracy. On the contrary: for each of the major data sets used in the study, the imec SNN ranked amongst the top performers in terms of accuracy.

View attachment 22436

Imec’s adaptive neuron-based SNN (‘Adaptive SRNN’) was evaluated against six other neural networks – using eight different data sets including Google’s radar (SoLi) and Google’s speech datasets

“SNN technology will find its way in a broad range of use-cases: from smart, self-learning Internet of Things (IoT) devices – such as wearables and brain-computer interface applications – to autonomous drones and robots. But each of those use-cases comes with its own set of requirements”, says Ilja Ocket. “While spiking neural networks for IoT applications should excel at operating within a very small power budget, autonomous drones demand a low-latency SNN that allows them to avoid obstacles quickly and effectively.”

“Addressing those requirements using a one-size-fits-all SNN architecture is extremely challenging. A delicate balance needs to be struck between energy consumption, latency, accuracy, cost (chip area) and scalability. For example, an SNN with the lowest possible energy consumption and latency typically results in an increased chip area – and vice versa. Finding that balance is one of imec’s SNN focus areas.”

Going forward: spiking all the way
Drones are being used in an increasing number of application domains. Still, to improve their level of autonomy and to have them operate in more challenging environments (such as bad weather conditions), their sensing capabilities require yet another boost. According to Ilja Ocket, an end-to-end spiking approach – based on fused neuromorphic radar and camera inputs – might offer a way out.

Ilja Ocket: “This obviously makes for a highly energy-efficient and super low latency system. Today, however, in order to connect such cameras to the underlying AI, one still needs to translate their feed into frames – which significantly limits the efficiency gains. That is why we are investigating how the spiking concept can be implemented end-to-end: from the cameras and sensors to the AI engine. We are actually the first ones to do so, with very promising results so far. To that end, we are still looking for companies from across the drone industry – such as OEM drone builders – to join our program and experiment with this exciting technology.”

View attachment 22437

Imec’s end-to-end spiking approach at work. Local feature detection forms the first layer for a more complex semantic build-up.
A lot of IMEC NN stuff is MemRistor based including NNs.

US2022076737A1 ANALOG IN-MEMORY COMPUTING BASED INFERENCE ACCELERATOR

1668857698625.png


A compute cell for in-memory multiplication of a digital data input and a balanced ternary weight, and an in-memory computing device including an array of the compute cells, are provided. In one aspect, the compute cell includes a set of input connectors for receiving modulated input signals representative of a sign and a magnitude of the data input, and a memory unit configured to store the ternary weight. A logic unit connected to the set of input connectors and the memory unit receives the data input and the ternary weight. The logic unit selectively enables one of a plurality of conductive paths for supplying a partial charge to a read bit line during a compound duty cycle of the set of input signals as a function of the respective signs of data input and ternary weight, and disables each of the plurality of conductive paths if at least one of the ternary weight and data input have zero magnitude.
[ternary values are: +1, 0, -1]

This one is for dealing with radio interference:
US2022300824A1 A NEURAL NETWORK FOR IDENTIFYING RADIO TECHNOLOGIES

1668857306818.png




A computer-implemented method providing a neural network for identifying radio technologies employed in an environment. The neural network includes an autoencoder having an encoder, and a classifier. The method has the steps of
sensing a radio spectrum of the environment thereby obtaining a set of data samples,
labelling a subset of the data samples by a respective radio technology thereby obtaining labelled data samples,
training the autoencoder in an unsupervised way by unlabelled data samples,
training the classifier in a supervised way by the labelled data samples, and
providing the neural network by coupling the output of an encoder network of the autoencoder to an input of the classifie
r.

[066] … First, the DAE 130 which is composed of the encoder 120 and the decoder 21 in an unsupervised way using only Xu . Secondly, after the unsupervised learning, a training is performed by a classifier 123 using an encoder 106 together with a Softmax classifier 107

[Softmax is to do with the last layer of a CNN]
 
  • Like
  • Love
  • Fire
Reactions: 9 users

TECH

Top 20

Check out the 3-minute video.

Do Lou mention Siemens or was that someone else?

Next year's AGM is shaping up to be our best ever, I hope that Anil and Rob attend this time, if so, I'll make the effort to fly back from
New Zealand early to shake some hands and acknowledge excellence when I see it eye to eye.

Having both Peter and Anil together on stage on Australian soil will be a very special moment, that no genuine shareholder should miss,
let's hope it eventuates, the seed has been sown, let the magic begin.

God Bless Brainchip x
 
  • Like
  • Love
  • Fire
Reactions: 42 users

Slade

Top 20
  • Like
  • Love
  • Fire
Reactions: 35 users
Last edited:
  • Like
  • Fire
  • Love
Reactions: 6 users

charles2

Regular
  • Like
  • Fire
Reactions: 9 users

Vanman1100

Regular
Come on 🇼🇸
 
  • Like
  • Thinking
Reactions: 2 users
Top Bottom